當前位置:首頁 > 公司動態
公司動態
復合土工膜抗滑穩定計算公式
發布時間:2018-09-09 新聞來源:山東德旭達土工材料有限公司 瀏覽次數:
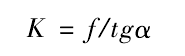
由于上游壩坡較陡,復合土工膜與土石介質間的摩擦系數將影響防滲體的穩定,必須復核復合土工膜與保護層的抗滑穩定性,復合土工膜抗滑穩定性驗算計算公式為:
式中:K為抗滑穩定安全系數; f為上墊層與土工膜之間的摩擦系數,結合本工程實際取0.45;為上游壩坡坡角,tgα=1/2.8.
通過計算得K=1.26,大于規范要求1.25,說明抗滑穩定滿足規范要求。
由于復合土工膜的正常滲漏量非常小,膜后土壩也具有一定的滲透性,所以在計算中可忽略不計。經勘察在壩體左右壩肩與壩體接觸部位有部分分散的泉點,所有泉水流量為6X10-5m3/s。大量的膜下積水不及時排除,受地下水及氣體的頂托,土工膜可能會被頂起來,造成防滲體破壞,還將抬高壩體浸潤線,危及大壩安全,所以必須在土工膜下設置排水、排氣系統,排除膜下的氣體及積水,保護土工膜及壩體安全。


由于復合土工膜的正常滲漏量非常小,膜后土壩也具有一定的滲透性,所以在計算中可忽略不計。經勘察在壩體左右壩肩與壩體接觸部位有部分分散的泉點,所有泉水流量為6X10-5m3/s。大量的膜下積水不及時排除,受地下水及氣體的頂托,土工膜可能會被頂起來,造成防滲體破壞,還將抬高壩體浸潤線,危及大壩安全,所以必須在土工膜下設置排水、排氣系統,排除膜下的氣體及積水,保護土工膜及壩體安全。
下一篇: 土工膜下排水系統應該怎么設計呢
【最新新聞】
- [2023-03-21]如何選擇外觀及性能指標都滿足設計及規范要…
- [2023-02-09]土工材料在填埋場的實際應用中存在一些問題…
- [2022-11-21]土工材料在填埋場的實際應用中存在一些問題…
- [2022-11-14]鐵路隧道的主要防水結構及材料
- [2022-11-11]環保領域對土工合成材料的關注點是什么?